Mining property prices have dramatically dropped over past decade: PIPA

New research has found that property prices halved in many mining regions over the past decade.
Property Investment Professionals of Australia (PIPA) chairman Peter Koulizos is currently reviewing research he undertook for a book that was published in 2008.
As part of the new research, however, Koulizos used CoreLogic data to calculate the best and worst performing areas over the past 10 years and found a clear front – runner for bottom of the pile – mining locations.
Click here to enlarge:

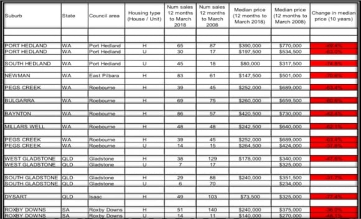
Souce: PIPA
“What this data shows us is that if you had bought property in one of these towns, not only did your property not increase in value over this 10-year period, but it is actually worth less,” Koulizos said.
“West Australia – which benefited the most from the mining boom – has also suffered the most from the mining bust.
“There is a very long list of underperforming mining towns in WA, but the worst is South Hedland, a suburb in Port Hedland, where house prices fell a whopping 74.8%.
“Newman came in a close second to South Hedland, where the median house price was $501,000 in 2008 and now it is only $147,000.”
Queensland mining towns and suburbs within those towns have also suffered, according to the data.
Gladstone was promoted by many property spruikers and it’s clear they have seriously come unstuck, Koulizos said.
“South Gladstone house prices fell by 31.7% and West Gladstone house prices fell by 47.6% over that time period,” he said.
“However, these two suburbs are not the worst performers. Property prices in the mining town of Dysart fell a whopping 77.4%, while at the same time Brisbane house prices increased by 24%.”
House prices in the mining town of Roxby Downs in South Australia fell by 36%, according to the data, plus sales have fallen from 140 in 2008 to just 51 in 2018.
“It’s important to understand that buying property outside of capital cities still makes financial sense. In fact, there are many regional and country areas that are deserving of your investment dollars,” Koulizos said.
“The moral of the story is that successful property investment is about long-term economic fundamentals, not supposed short-term financial gains.
“And that usually means investing in locations with diverse, multi-faceted economies, not areas that financially ebb and flow depending on the strength – or weakness – of a single industry.”




